Directed acyclic graphs (DAGs) are great for describing scientific models or systems that we might want to formally model using a statistical model. Using a DAG, we can describe assumptions regarding causal relationships among variables in our system. See (McElreath 2020, 128–28) for an introduction. Below are several examples of methods for drawing DAGs in R.
4.1 A basic DAG
4.1.1 Dagitty
Dagitty is an R package and a web interface for creating DAGs with additional functionality to identify variables to adjust to retrieve a causal effect given a specific graph. The web interface allows for point and click and the R package allows for creating graphs and finding adjustment sets programmatically.
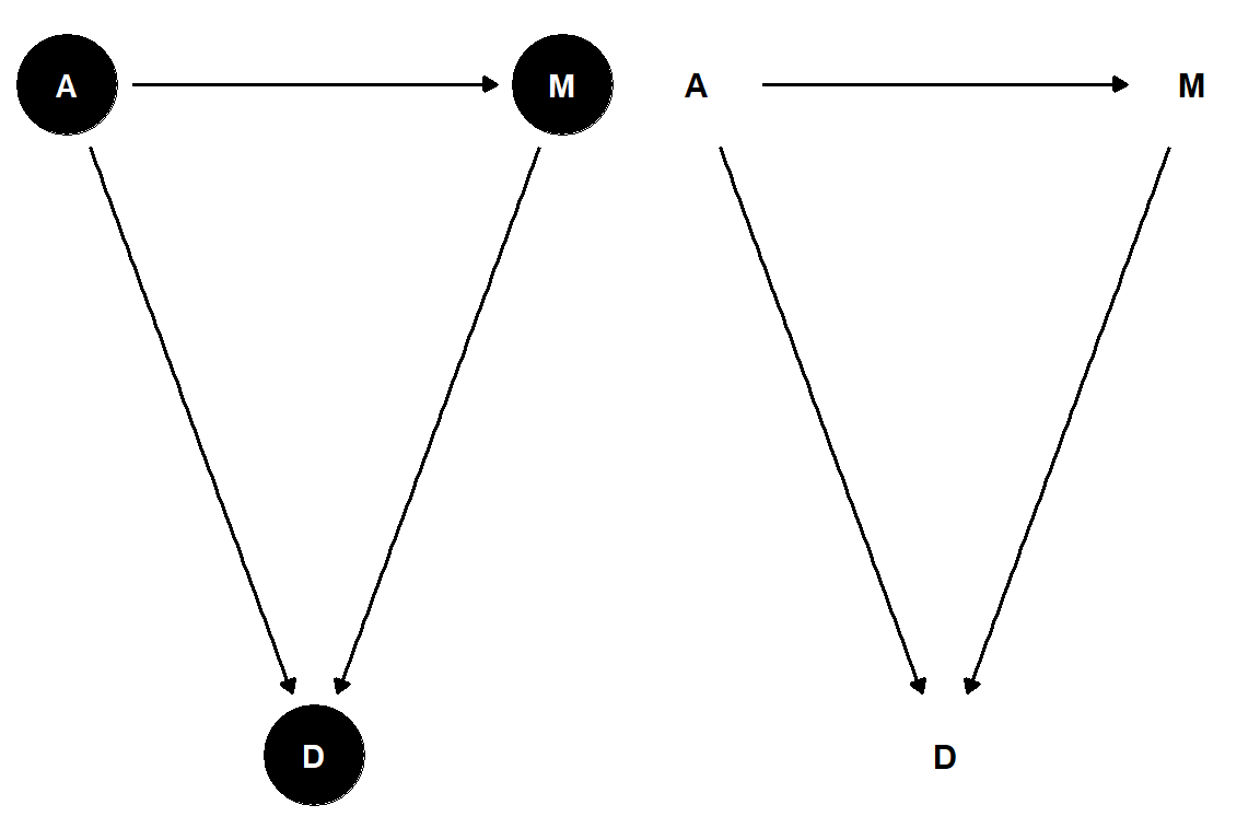
Below we are recreating DAG 5.1 (McElreath 2020, 129). The DAG has three variables, A, M and D. Using Dagitty we can define the basic graph by the associations between variables. The Dagitty package has a plot method for constructed graphs, adding coordinates makes it possible to control placement of variables in the plot. Using drawdag from the rethinking package makes the graph “fancier” (see ?rethinking::drawdag). Below both versions of DAG 5.1 are shown (Figure 4.1).
library(dagitty)library(rethinking)# Create the basic graphdag5.1<-dagitty( "dag{ A -> D; A -> M; M -> D }" )# Define coordinatescoordinates(dag5.1) <-list( x=c(A=0,D=1,M=2) , y=c(A=0,D=1,M=0) ) # Display both graphspar(mfrow =c(1,2))plot(dag5.1); rethinking::drawdag(dag5.1)
Figure 4.1: DAG5.1 displayed using the Dagitty package and the rethinking package.
The arrows (edges) shows the (assumed) direction of the causal effect, variables (A, M and D; nodes).
4.2ggdag: Using ggplot2 to draw DAGs
An alternative to the basic plotting functionality in dagitty and the alternative in the rethinking package is the the ggdag package that uses ggplot2in the background. This could be useful when we want to customize the plot. For now, we will simply recreate the above plots using ggdag.
library(ggdag)ggdag(dag5.1) +theme_dag()
Figure 4.2: DAG5.1 displayed using the ggdag package
The ggdag package use the information on variable associations created with dagitty above to display the graph. We can take control over this process at multiple levels.
library(tidyverse)dag_coords <-tibble(name =c("A", "M", "D"),x =c(1, 3, 2),y =c(2, 2, 1))dag <-dagify(M ~ A, D ~ A, D ~ M,coords = dag_coords)p1 <- dag |>ggdag() +theme_dag()# Customizable plot p2 <- dag |>tidy_dagitty() |>ggplot(aes(x = x, y = y, xend = xend, yend = yend)) +geom_dag_text(color ="black") +geom_dag_edges() +theme_dag()cowplot::plot_grid(p1, p2)
Figure 4.3: DAG5.1 displayed using the ggdag package, with customizations in the second panel
McElreath, Richard. 2020. Statistical Rethinking: A Bayesian Course with Examples in R and Stan. Second edition. Chapman & Hall/CRC Texts in Statistical Science Series. Boca Raton: CRC Press.
---title: "Drawing Directed Acyclic Graphs"format: htmleditor_options: chunk_output_type: console---Directed acyclic graphs (DAGs) are great for describing scientific models or systems that we might want to formally model using a statistical model. Using a DAG, we can describe assumptions regarding causal relationships among variables in our system. See [@rethink2020, pp. 128-] for an introduction. Below are several examples of methods for drawing DAGs in R.## A basic DAG### Dagitty[Dagitty](https://dagitty.net/) is an R package and a web interface for creating DAGs with additional functionality to identify variables to adjust to retrieve a causal effect given a specific graph. The web interface allows for point and click and the R package allows for creating graphs and finding adjustment sets programmatically. Below we are recreating DAG 5.1 [@rethink2020, pp. 129]. The DAG has three variables, A, M and D. Using Dagitty we can define the basic graph by the associations between variables. The Dagitty package has a plot method for constructed graphs, adding coordinates makes it possible to control placement of variables in the plot. Using `drawdag` from the `rethinking` package makes the graph "fancier" (see `?rethinking::drawdag`). Below both versions of DAG 5.1 are shown (@fig-basicDAG).```{r}#| label: fig-basicDAG#| echo: true#| fig-cap: "DAG5.1 displayed using the Dagitty package and the rethinking package."#| message: false#| warning: false#| fig-height: 4#| fig-width: 6library(dagitty)library(rethinking)# Create the basic graphdag5.1<-dagitty( "dag{ A -> D; A -> M; M -> D }" )# Define coordinatescoordinates(dag5.1) <-list( x=c(A=0,D=1,M=2) , y=c(A=0,D=1,M=0) ) # Display both graphspar(mfrow =c(1,2))plot(dag5.1); rethinking::drawdag(dag5.1)```The arrows (edges) shows the (assumed) direction of the causal effect, variables (A, M and D; nodes). ## `ggdag`: Using `ggplot2` to draw DAGsAn alternative to the basic plotting functionality in `dagitty` and the alternative in the `rethinking` package is the the `ggdag` package that uses `ggplot2`in the background. This could be useful when we want to customize the plot. For now, we will simply recreate the above plots using `ggdag`.```{r}#| label: fig-basic-ggdag#| echo: true#| fig-cap: "DAG5.1 displayed using the ggdag package"#| message: false#| warning: false#| fig-height: 4#| fig-width: 4library(ggdag)ggdag(dag5.1) +theme_dag()```The `ggdag` package use the information on variable associations created with `dagitty` above to display the graph. We can take control over this process at multiple levels. ```{r}#| label: fig-basic-ggdag-custom#| echo: true#| fig-cap: "DAG5.1 displayed using the ggdag package, with customizations in the second panel"#| message: false#| warning: false#| fig-height: 4#| fig-width: 6library(tidyverse)dag_coords <-tibble(name =c("A", "M", "D"),x =c(1, 3, 2),y =c(2, 2, 1))dag <-dagify(M ~ A, D ~ A, D ~ M,coords = dag_coords)p1 <- dag |>ggdag() +theme_dag()# Customizable plot p2 <- dag |>tidy_dagitty() |>ggplot(aes(x = x, y = y, xend = xend, yend = yend)) +geom_dag_text(color ="black") +geom_dag_edges() +theme_dag()cowplot::plot_grid(p1, p2)```